Контрольная работа № 4
Пример 1. Найти общее решение уравнения 
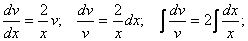
Решение. Сначала определим вид дифференциального уравнения. Данное уравнение не является уравнением с разделенными переменными, так как коэффициенты при
и
зависят каждый от двух переменных. Но, разделив обе части уравнения на произведение
(считая, что
), приведем его к виду

Это уравнение с разделенными переменными.
Находим общее решение

Или
.
Умножив обе части на (-1), включим знак “-“ в постоянную С. Решение примет вид
.
Таким образом, нами получено общее решение заданного уравнения.
3. Однородные уравнения первого порядка
[2, гл. ХIII, § 5, упр. 39-46].
Пример 2. Найти общее решение уравнения
. (1)
Решение. Определим вид этого уравнения. Это – однородное уравнение, поскольку его правая часть есть
.
Поделив почленно правую часть на
, получим

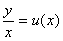
Делаем подстановку
или
. Тогда
и уравнение примет вид
.
(2)
Разделяем переменные

И интегрируем

Или после потенцирования
.
Нами получено общее решение уравнения (2).
Чтобы найти общее решение уравнения (1), вернемся к старой переменной Y. Подставим
, тогда будем иметь
или
.
4. Линейные уравнения первого порядка
[2, гл. ХIII, § 7, упр. 57-65].
Пример 3. Найти общее решение уравнения первого порядка

Решение. Определим вид этого уравнения. Уравнение вида
Называется линейным. Полагаем
;
и подставляем это в данное уравнение

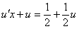
Группируем члены

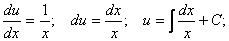
И полагаем
(3)
Остается
. (4)
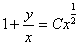
Находим сначала V из (3)


Заметим, что V не содержит никаких произвольных постоянных.
Подставляем V в (4) и получаем


Окончательно получаем искомое общее решение
.
5. Дифференциальные уравнения высших порядков. Основные понятия.
[2, гл. ХIII, § 16, 17, упр. 118-124].
6.Линейные однородные уравнения второго порядка
Пример 4. Найти общее решение уравнения
.
Решение. Ищем решение уравнения в виде
тогда
и, подставляя в исходное уравнение получим
Так как
то на него можно сократить и мы получим 
Находим его корни


Корни характеристического уравнения вещественные, различные, значит, общее решение дифференциального уравнения имеет вид

Или

Пример 5. Найти общее решение уравнения

Решение. Составляем характеристическое уравнение (см. пример 9)

Решаем его

Корни характеристического уравнения вещественные равные. Общее решение дифференциального уравнения имеет вид

Или

Пример 6. Найти общее решение уравнения

Решение. Составляем характеристическое уравнение (см. пример 9)


Корни характеристического уравнения комплексные сопряженные, значит, общее решение дифференциального уравнения имеет вид

Или

7. Линейные, неоднородные уравнения второго порядка
Пример 7. Найти общее решение уравнения

Решение. Находим сначала общее решение соответствующего однородного уравнения

Характеристическое уравнение
Его корни 
Общее решение однородного уравнения

Теперь следует найти частное решение
неоднородного уравнения. Правая часть
значит
ищем в форме
, т. к.
не является корнем характеристического уравнения.
Требуется найти неизвестные коэффициенты А и В. Для определения А и В дифференцируем дважды 



И подставляем это в данное неоднородное уравнение:

Так как
то сократив
, получим тождественное равенство двух полиномов

Значения А и В найдем, приравнивая коэффициенты при одинаковых степенях
в левой и правой частях
При Х : 
При Х0: 
Подставляем найденные А и В в 

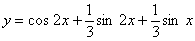
Общее решение неоднородного уравнения

Пример 8. Найти общее решение уравнения

Решение. Соответствующее однородное уравнение

Решаем его


Правая часть данного неоднородного уравнения

Следовательно, частное решение
разыскиваем в виде
,
Т. к.
не является решением характеристического уравнения.
Дифференцируем и подставляем это решение в неоднородное уравнение



Приравниваем коэффициенты при одинаковых тригонометрических функциях в левой и правой частях тождества
При 
При 
Из этой системы находим А и В



Общее решение

Пример 9. Найти частное решение уравнения
удовлетворяющее начальным условиям 
Решение. Чтобы найти частное решение, удовлетворяющее заданным начальным условиям, необходимо получить сначала общее решение данного неоднородного уравнения. Находим его (см. пример 8)



Подставляем
в уравнение




Искомое частное решение будем находить из общего. Общее решение неоднородного уравнения


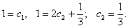
Подставляем начальные условия. При
имеем

Найденные постоянные подставляем в общее решение неоднородного уравнения

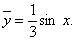
• искомое частное решение.