

Решение
Строим график функции 

Строим график функции
- сжатие графика
в 4 раза по оси оХ

Строим график функции
- перенос вправо
на 2

Строим график функции
- растяжение графика
в 3 раза по оси оУ



Решение
А) 
Б)

В) 
Использовали:
при 
Г) 
Использовали второй замечательный предел:
.


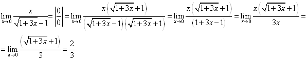
Решение
Найдем левый и правый пределы в точке
.


Правый предел конечен и равен 0, а левый предел бесконечен. Следовательно, по определению
точка разрыва второго рода.
Найдем левый и правый пределы в точке
.

, т. е.
точка непрерывности функции
.
Сделаем схематический чертеж.



Решение
Функция
непрерывна для
, функция
непрерывна в каждой точке из
, функция
непрерывна в каждой точке интервала
.
Точки, в которых функция может иметь разрыв, это точки
и
, где функция меняет свое аналитическое выражение.
Исследуем точку
.
,
,
.
Таким образом, точка
есть точка непрерывности функции
.
Исследуем точку
.
,
,
.
Таким образом, односторонние пределы существуют, конечны, но не равны между собой. По определению, исследуемая точка – точка разрыва первого рода. Величина скачка функции в точке разрыва
равна
.
Сделаем схематический чертеж



Решение
А)

Б) 
В) 
Г) 
Прологарифмируем заданную функцию и найдём производные от левой и правой частей:

Тогда 
Д) 
Здесь функция
задана неявным образом. Дифференцируем обе части равенства по
, 
Выразим из этого выражения
:
.

Откуда 

Решение
А) 

Б) Найдем
;
.
Следовательно,
.
Вторая производная



Решение


Значение
принадлежит отрезку
, следовательно



При
имеем


Ответ: 


Решение
Исследуем функцию, заданную формулой:
на интервале 
Область определения: множество всех действительных чисел
Найдём производную заданной функции:

Первая производная: 
Для нахождения критических точек приравняем первую производную к нулю и решим полученное уравнение.
,
,
;
Тогда
,
.
Критические точки:
,
.
В интервал
попадает только одна критическая точка: 
Найдём значение функции
в критических точках и на концах интервала
.
,
, 
Получили
, 

Решение





Решение
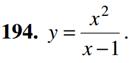
Исследуем функцию, заданную формулой: 
Область определения: 
Найдём первую производную:
=
=
=
=
Первая производная: 
Для нахождения критических точек приравняем первую производную к нулю и решим полученное уравнение. 
Случай 1: х=0
Случай 2: х-2=0, х=2
Критические точки: х=0, х=2
Найдём вторую производную:
Вторая производная это производная от первой производной.
=
=
=
=
=
=
=
Вторая производная: 
Для нахождения возможных точек перегиба приравняем вторую производную к нулю и решим полученное уравнение. 
Возможные точки перегиба: нет
Для нахождения точек пересечения с осью абсцисс приравняем функцию к нулю.
, 
Точки пересечения с осью х: х=0
Точки пересечения с осью у: у=0
Пусть х=0, 
Определим значения аргумента, при которых знаменатель функции обращается в ноль.
, 
Вертикальные асимптоты: 
Горизонтальные асимптоты: нет.
Для нахождения наклонных асимптот преобразуем исходное выражение.
=
=
Предел разности исходной функции и функции х+1 на бесконечности равен нулю.
Наклонные асимптоты: у=х+1 .
Точки разрыва: х=1
Симметрия относительно оси ординат: нет
Функция f(x) называется четной, если f(-x)=f(x). 
Симметрия относительно начала координат: нет
Функция f(x) называется нечетной, если f(-x)=-f(x). 
Тестовые интервалы:

Результаты исследования функции занесем в таблицу.

Относительные экстремумы:
Проходя через точку минимума, производная функции меняет знак с (-) на (+). Относительный минимум
.
Проходя через точку максимума. производная функции меняет знак с (+) на (-). Относительный максимум
.
Данные таблицы нанесем на координатную плоскость.
Используя результаты исследования функции, построим ее график.
