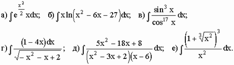
Задание 1.
Найти неопределенные интегралы.
6. 
Решение
А)
Б)
В)
Г)
Д)
Разложим подынтегральную функцию на простые дроби

Тогда

Е)
Задание 2.
Вычислить определенные интегралы.
6. 
Решение

Задание 3.
Вычислить определённые интегралы
6. 
Решение

Задание 4.
Вычислить площади фигур, ограниченных указанными линиями.
6.
;
Решение
Изобразим фигуру, площадь которой нужно найти

Найдём ординаты точек пересечения данных линий. Для этого решим систему уравнений: 
Тогда, по формуле
.
В нашем случае а=0, b=3,
,
. Тогда
Ответ:
кв. ед.
Задание 5.
Вычислить длины дуг кривых, заданных уравнениями в прямоугольных координатах.
6. 
Решение
По формуле
. Тогда в нашем случае

Ответ: 
Задание 6.
Вычислить длины дуг кривых, заданных уравнениями в полярных координатах.
6. 
Решение
По формуле
. Посчитаем отдельно 


Тогда в нашем случае

Ответ: 
Задание 7.
Исследовать сходимость несобственных интегралов и вычислить.

Решение

Задание 8.
Найти области определения данных функций. Сделать чертежи.
6. 
Решение
Имеем область определения функции:
. Решим систему неравенств 
Данная система неравенств ограничивает область:
