Контрольная работа № 3.
Пример 1.
.
Решение. Используем теорему: интеграл от разности функций равен разности интегралов.

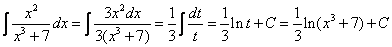
Пример 2. Вычислить
.
Решение. Сравним наш интеграл с табличным

У нас
, формально интеграл не табличный. Используем теорему о линейной замене переменной:
Если
, то
.
В интеграле
, т. е. А = 2, следовательно

.
Проверим полученный результат дифференцированием

Интеграл взят правильно.
Пример 3.
, т. е.
.
Решение. Так как
, то используем теорему о «замене типа подведение под знак дифференциала»
, где T = G(X)
У нас
. Тогда 

Пример 4.
, т. е.
.
Решение. Так как
, то то используем теорему о «замене типа подведение под знак дифференциала»,
. Тогда
. Домножим в числителе на 3, при этом надо и знаменатель умножить на 3.
.
Проверим дифференцированием
.
Пример 5. Найти
.
Решение. Так как
, то используем теорему о «замене типа подведение под знак дифференциала» Argtgx = T, тогда dt = d(arctg(x)) =
и earctg x = et
Подставляя в исходный интеграл, имеем
=
earctg x + C.
Пример 6. Найти
.
Решение. Здесь уместна замена t = cos x, т. к. dt = - sin x dx, и sin3x dx = sin2x sinx dx. Поэтому

Пример 7. Найти
.
Решение. Используем метод интегрирования по частям

Так как производная от Х равна 1, то возьмем U = x. Используем формулу, приведя схему записи удобную при использовании метода интегрирования по частям.

= - X Cosx +
= -X cosx + Sinx + C.
Пример 8. Найти
.
Используем метод разложения на простейшие. Знаменатель имеет два различных действительных корня, разложим подинтегральную функцию на простейшие слагаемые

Приравняем числители и учтем, что коэффициенты при одинаковых степенях Х, стоящие слева и справа должны совпадать


Следовательно

Определенный интеграл
1. Определение, свойства и вычисление определенного интеграла
Литература.[1], гл. XI, § 1-5, 6 (пример можно пропустить), упр. 8, 10, 11, 13, 16-21, 23, 24.
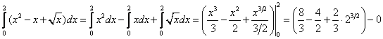
Пример. Вычислить
.
Так как интеграл от суммы функций равен сумме интегралов, то

2. Геометрические приложения определенного интеграла
Литература. [1], гл. XII, §1, упр. 1, 3, 5-11; §2, упр. 13, 14, 17, 18; §3, упр. 38-41, 43, 47; §4, 5, упр. 20-23, 25, 32; §6, упр. 49, 51, 53, 56.
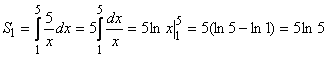
Пример 1. Вычислить площадь фигуры, ограниченной линиями
и
.
Решение. Построим в системе координат
эти линии. Найдем точки пересечения этих линий



Рис.1.
Обозначим эти точки через A и В. Итак, А(1; 5), В(5; 1). Искомая площадь S равна разности площадей фигур, ограниченных линиями
,
,
,
(обозначим эту площадь через S1) и линиями
,
,
,
(эту площадь обозначим через S2). Таким образом
S = S1 – S2 
Площадь S2 может быть вычислена с применением определенного интеграла
Ед2.
Площадь S1 можно, конечно, вычислить как сумму площадей прямоугольного треугольника и прямоугольника, но удобнее все-таки вычислить S1 как интеграл
.
Теперь можно вычислить и искомую площадь
S = S1 – S2 = 12 – 5 ln5
Ответ: S =12 – 5 ln5 Ед2.
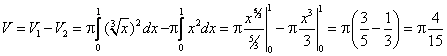
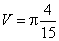
Пример 2. Вычислить объем тела, полученного вращением вокруг оси О
фигуры, ограниченной прямой
и параболой
.
Найдем точки пересечения линий. Для этого решим уравнение
. Получим
.

Рис. 2.
Объем тела может быть вычислен по формуле
, где
,
.
.
Ответ:
.
Т е м а 3. Функции нескольких переменных
1. Основные понятия.
2.
3. Литература. [1], гл. VШ, § 1 - 4.
4.
5. Частные производные.
Литература. [1], гл. VIII, § 5, 6, упр. 1-10.
Пример. 
1. Найти область определения функции.
2. Проверить, что 
3. Проверить, что 
Решение.
1. Под знаком логарифма может стоять только положительное выражение, следовательно
или
.
Сделаем чертеж

Рис. 3.
2. При вычислении частной производной по
рассматриваем функцию
как функцию только от переменной
а при дифференцировании по
- как функцию только от
:
,
,

3. При вычислении второй производной по
также рассматриваем функцию
как функцию только от переменной
а при дифференцировании по
- как функцию только от
:
,
,

3. Поверхности уровня и линии уровня в скалярном поле. Производная по направлению и градиент
Литература. [1], гл. VIII, § 13, 14, 15, упр. 40-43.
Пример. Для функции
в точке А(1;2) найти

1) ;
Производную по направлению
.
Решение. Градиент и производная по направлению находятся по формулам:

,
где
- единичный вектор направления 
Координаты единичного вектора 
Значения частных производных по
и по
находим, рассматривая функцию двух аргументов
как функцию, зависящую только от того аргумента, по которому производится дифференцирование
,
.
В точке А(1;2) частные производные принимают значения
и, следовательно,



Ответ: 

4. Формула Тейлора функции двух переменных. Экстремумы функции нескольких переменных.
Литература. [1], гл. VIII, § 16, 17, 19. упр. 47-49.
При исследовании функции двух переменных на экстремум обратите внимание на следующее:
1. Точки экстремума всегда лежат внутри области определения, а на границе могут находиться только наибольшие и наименьшие значения (см. функцию одной переменной)
Экстремум может достигаться в тех точках области определения, где
и
или равны 0 или не существуют.
Пример 1.
,

,
.
График функции z – верхняя половинка конуса. В точке (0;0) производные по X и Y Не существуют, но 

Рис. 4.
Схема исследования на нахождение наибольших и наименьших значений
1. Найти внутренние точки области, где может быть экстремум.
2. Исследовать границы области и найти там точки, где может достигаться наибольшее и наименьшее значения.
3. Вычислить значение функции во всех найденных в п.1 и 2 точках. Среди них выбрать наибольшее и наименьшее.
Покажем, как это делается.
Пример 2. Найти наибольшее и наименьшее значения функции
в замкнутой области, ограниченной осью ОY, прямой Y=2 и параболой
при
.
Решение. Точки, в которых функция принимает наибольшее и наименьшее значения, могут находиться как внутри области, так и на ее границе. Если функция принимает наибольшее (наименьшее) значение во внутренней точке области, то в этой точке частные производные
равны нулю. Решив систему уравнений

Найдем две точки О (0; 0) и М (1; 1), в которых обе частные производные равны нулю. Первая из них принадлежит границе области. Следовательно, если функция Z принимает наибольшее (наименьшее) значение во внутренней точке области, то это может быть только в точке М(1;1). Перейдем к исследованию функции на границе области.
На отрезке ОА имеем
, поэтому на этом отрезке

Есть возрастающая функция от одной переменной
; наибольшее и наименьшее значение она принимает на концах отрезка ОА. На отрезке АВ имеем
, поэтому на этом отрезке функция

Представляет собой функцию одной переменной
; ее наибольшее и наименьшее значения находятся среди ее значений в критических точках и на концах отрезка.
Находим производную:
Решаем уравнение
или
и находим
Внутри отрезка
имеется лишь одна критическая точка
соответствующей точкой отрезка АВ является точка Q
. Итак, из всех значений функции
на отрезке АВ наибольшее и наименьшее находятся среди ее значений в точках А, Q и В.
На дуге ОВ параболы
имеем
.
Решаем уравнение
или
и находим его корни:
и
. Таким образом, из всех значений функции
на дуге ОВ наибольшее и наименьшее находятся среди ее значений в точках О, Р и В.
Следовательно, наибольшее и наименьшее значения функции
в данной замкнутой области находятся среди ее значений в точках О, А, Q, В, Р, М, т. е. среди значений:

Q



Наибольшее и наименьшее из них равны 12 и -1. Они и являются наибольшим и наименьшим значениями данной функции в данной замкнутой области: 